This model worksheet should be considered for use in performing tuberculosis (TB) risk assessments for health care facilities and nontraditional facility-based settings. Facilities with more than one type of setting will need to apply this table to each setting.
Additional formats
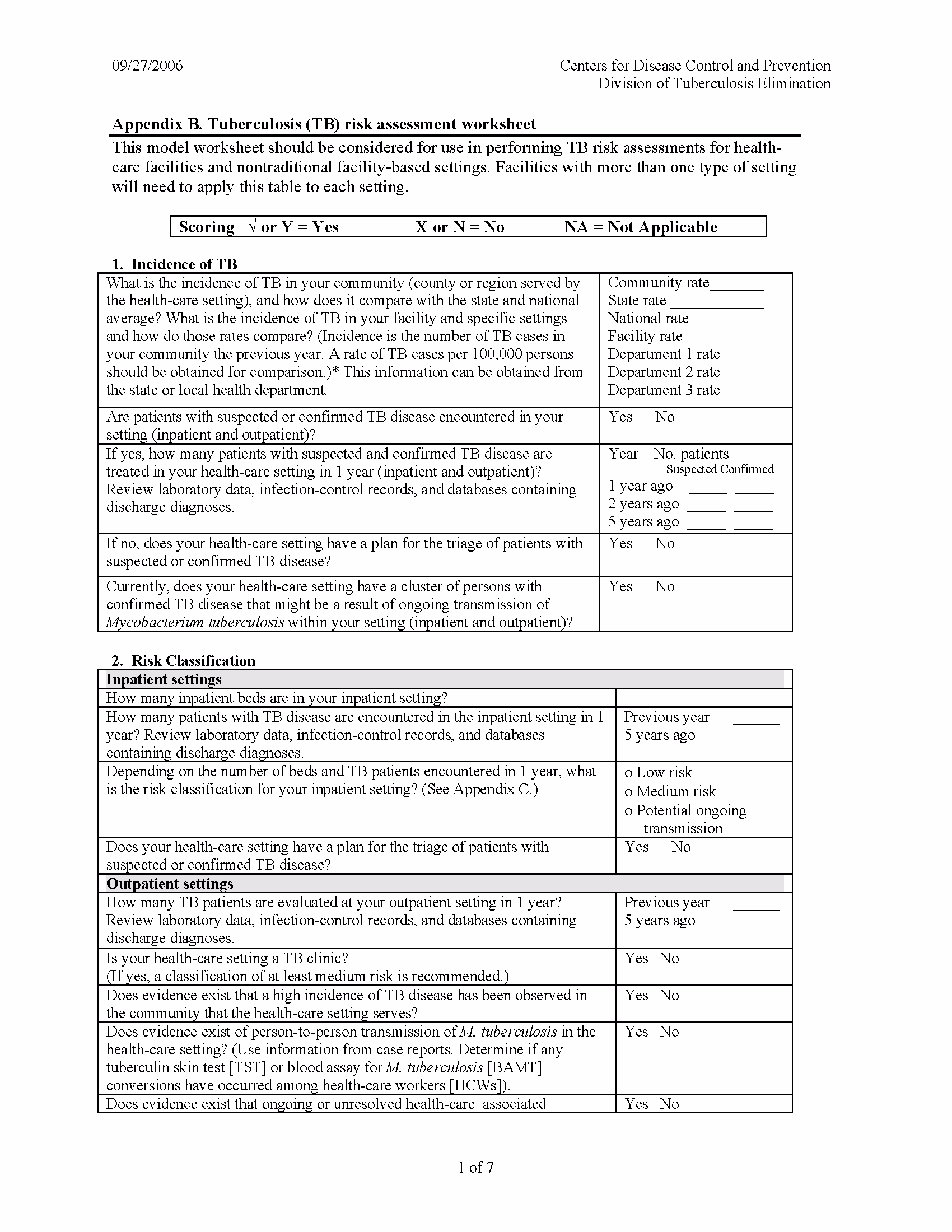
Tuberculosis (TB) Risk Assessment Worksheet for Facilities
- Jensen PA, Lambert LA, Iademarco MF, Ridzon R. Guidelines for preventing the transmission of Mycobacterium tuberculosis in health-care settings, 2005. MMWR Recomm Rep 2005;54(No. RR-17). https://www.cdc.gov/mmwr/preview/mmwrhtml/rr5417a1.htm

